图片

澳门棋牌app官网_澳门皇冠棋牌-游戏下载

当前位置:主页 > 毕业论文 > 经济学 > 中国经济 > >

对外开放对我国收入差距影响的分析

来源::未知 | 作者:澳门棋牌app官网_澳门皇冠棋牌-游戏下载 | 本文已影响
[内容提要]收入差距的扩大已经成为我国经济可持续发展中的重要障碍,对外开放政策对我国收入差距的影响分析是本文研究的重点,本文通过对总体基尼系数的解构研究,分析了对外开放对再配置效应、功能性分配效应和要素基尼系数的影响,得出了相关的结论和政策建议。

  [关键词]对外开放,收入差距,总体基尼系数

  发展经济学认为经济增长会产生涓滴效应,随着经济增长富有阶层的收入会通过国家调节逐步“涓滴”到低收入阶层,国内的收入差距会逐步缩小;经济学家西蒙·库兹涅茨认为经济增长和收入差距存在倒U形的关系,在经济增长的初期基尼系数会提高,收入差距扩大,但是发展到一定的水平(人均 GDP2000-3000美元),就会达到倒U形曲线的顶端,而后随着经济增K,基尼系数将呈现下降的趋势。这些理论都表明了一个方向,就是经济增长最终会导致收入差距的缩小;、这是当然是一个乐观的日标,但是实现这个日标的过程中存在许多障碍和问题,例如对于发展中国家来说如何实现经济迅速增长,在到达倒U形曲线顶点的过渡期中,处于低收入阶层对收入差距扩大的忍耐程度到底有多大,能否在经济增长的过程中让低收入人群也同步分享经济增长的收益等等。

  我国改革开放近30年,经济发展保持了9%以上的高速度增长,收入差距和经济发展依然呈现正相关关系,2005年人均GDP达到1700美元,2004年基尼系数超过0.465,2005年逼近0.47。以致于收入差距已经成为我国经济持续发展的一个瓶颈问题横亘在面前,成为绕不过去的社会经济问题,必须面对和解决。

  引起我国收入差距扩大的原因很多,但是因为这段时期正是我国对外开放政策实施期间,所以人们必然会问对外开放对我国收入差距扩大的作用到底如何?这正是本文试图分析和研究的。

  文献综述

  收入分配状况的改善可以保持经济增长所需的社会稳定,并有助于实现经济体制改革所一贯倡导的共同富裕目标。反之,差距过于悬殊的收入分配容易造成社会矛盾和社会冲突加剧。

  对外开放对收入分配的影响如何呢?对外开放是否会造成收入分配的恶化从而给经济发展带来负面影响呢?

  尽管学者都倾向于认为最近两个世纪以来,世界范围内的不平等程度加深了。但是,关于国际贸易和投资的开放程度与收入不平等之间的关系,学者们的研究却没有确定的结论。

  Bourguignon和Morrisson(1990)建立了一个理论模型,说明一国的收入不平等状况主要由要素禀赋、所有权结构和国际贸易保护程度等变量决定。在对发展中国家中贸易与收入分配的关系进行了跨国经验分析中发现,贸易保护程度的提高会恶化收入的分配状况。

  Savvides(1998)利用Lee和Swagel(1997)提供的贸易保护指数变量和Deininger & Squire(1996)提供的基尼系数,建立实证模型得出结论,在20世纪80年代末、90年代初,就发展中国家而言,更开放的经济政策带来了国内收入不平等状况的恶化;然而,开放政策对发达国家的收入不平等没有什么影响。

  Spilimbergo等(1999)将要素禀赋分为两类:一类资源可以由少数人无限度地囤积,比如土地和资本;而另一类资源个人的囤积则是有限度的,比如教育。这就带来了要素所有权结构的自然边界。使用了108个国家的长达28年的面板数据进行实证分析发现,收入分配情况以及贸易开放程度对收入不平等情况的影响取决于一国相对于世界其他国家的要素禀赋状况。对外开放的影响是,它降低了土地和资本充裕国家的不平等程度,而增大了技术资源充裕国家的不平等程度。

  O’Rourke(2001)基于一种历史考察认为,全球化和不平等之间的关系因考虑的国家、国家融入全球化的程度以及一国禀赋的不同而不同。跨国回归分析也表明,选择的国家不同,使用的开放指标不同时,结果就会变化,从而不能得到一个普适性的结论。

  由于统计资料的限制,本文很难完全从定量的角度来分析对外开放对我国收入差距的影响程度。本文的思路是从对总体基尼系数的解构人手,分析对外开放对决定总体基尼系数高低的再配置效应、功能性分配效应和要素基尼系数的影响,定性和定量分析相结合,得出相应的结论。

  对外开放对收入差距的影响分析

  本文的对外开放界定为狭义的对外开放,即国际贸易和吸引外资。为了确定对外开放对收入差距影响路径需要定义对收入差距衡量的指标。

  发展经济学将分配的衡量分为收入规模分配和收入功能分配。收入规模分配也称为个人收入分配或家庭收入分配,它所涉及的是个人或家庭与其所得收入总额的关系:洛伦茨曲线和基尼系数是研究收入规模分配的分布。收入功能分配也称为要素收入分配,它所涉及的是各种生产要素与其所得收入的关系,是从收入来源的角度研究收入分配。收入规模分配与收入功能分配之间的基本关系是收入功能分配的差别越大,收入规模分配的差别也就越大。收入的功能分配对收入的规模分配具有决定作用。在社会的不同阶层中,那些在功能收入分配上占据优势的群体,在规模收入分配上也必然居于上峰。

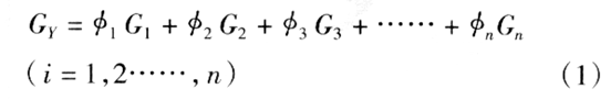
  衡量一国收入分配差距的基尼系数称为总体基尼系数,可以将总体基尼系数分解为n个要素的基尼系数之和:

  

  假设有一个单一的部门,有两种要素:资本和劳动,则可以得到:

  

  φW和φk为要素的收入份额;GL、GK为劳动和资本要素的基尼系数。

  考虑到发展中国家的经济二元性,又可以将上式改写为

   

  其中φA和φX为农业和非农业部门的收入份额,GA和GX为农村和非农业收入的基尼系数,而且φAX=1;其中非农业的收入份额可以分解为资本和劳动份额:

  

  对(3)式求时间t的导数,可以得到

   

  总基尼系数的变化可以分解为再配置效应、功能性分配效应和要素基尼系数效应。

  1.再配置效应分析

  其中为再配置效应,显示农业劳动力向非农业劳动力转移和农业收入差异对收入分配的影响。在工业化进程中,农业收入占总收入的比重总是下降的趋势,所以;因此,再配置效应对总体基尼系数的影响取决于(GA-GX)的值。库兹涅茨认为农业收入分配比非农业收入分配更平等,(GA-GX)<0,因此他认为再配置效应对总体基尼系数可能具有消极影响,会更进一步扩大总体收入不平等的趋势。

  改革开放以来,我国的农业收入比重呈现下降趋势(见图1),即符合工业化进程的特点。

  因此,我国再配置效应对总体基尼系数的影响也取决于(GA-GX)的值。即取决于农业收入基尼系数和非农业收入基尼系数的差。农业收入包括农林牧渔的收入,由于笔者无法获得我国农业收入和非农业收入分类的基尼系数资料,如果用农村和城市居民的基尼系数来代替,计算(GA-GX)的值,结果表明我国从1978年以来农村基尼系数却是一直高于城市的基尼系数(见图2),即(GA-GX)>0,那么这种结论将与库茨涅茨的预测相反。这样再配置效应这将表明改革开放以来,我国的再配置效应对总体基尼系数是起了收敛的作用。但是对农村居民收入差异扩大因素的分析中显示农村居民基尼系数的上升主要是来自于农村中非农业收入和财产收入。与东亚地区中的韩国、日本和我国台湾地区相似,我国农村联产承包制的土地平均分配制度使得农业收入在农村居民收入差距中的影响是不大的,平均地权的小农经济保障了农业收入的均等化趋势。如果能扣除农村中非农业和财产收入得到我国农业基尼系数进行计算,笔者估计还是应当符合库茨涅茨的预期的,即农业收入的基尼系数倾向小于非农业基尼系数,即(GA-GX)<0,因此我国再配置效应应当是扩大了总体基尼系数。

  因此,对外开放对再配置效应的影响也是分析对农业基尼系数的影响。如果是提高了农业收入的差距,则是有利于降低总体基尼系数,如果是降低了则是相反。国际贸易和国际投资对农业的影响可以分为结构和价格两个方面。开放可能带来农业产出结构的调整,在与国际市场价格的接轨中,农业资源配置会发生变化,相同质量的土地和劳动在不同开放地区的收益会发生差异。其二是价格的影响,由于国际贸易和外资收购,相同产品的价格会发生变化。但是,笔者认为从全国范围来看,无论是外资进入还是国际贸易,对农业收入的影响是有限和间接的。首先,我国引进外资在第一产业的比重一直偏低,2004年外资对农、林、牧、渔业的投资总额为我国引进外资投资总额的1.15%;其二,我国农产品国际贸易占总贸易的比重也是逐年下降的(见图3)。

  国际贸易对农业投入和产出品价格的影响在国家政策的干预下,是朝有利于农业收入提高和均等化趋势发展的。例如,2004年全国农业生产资料价格总指数为110.6,农产品生产价格指数为115.9(以上年为100),高于投入品价格的变化,是有利于农业收入增加的。而且国家农业政策对中西部地区的倾斜性是有利于缩小地区之间农业收入差距的。

  如果说国际贸易和外资进入对农村收入分配差距具有的影响,则应当表现在对农村劳动力吸引而产生的非农工资收入变化,以及地区开放的差异性上。而这种影响主要体现在以下的功能性分配效应和要素基尼系数效应之中。 经济,国内宏观-[飞诺网FENO.CN]

 2.功能性分配效应

 

  为功能性分配效应。其中φ′W为非农业部门的劳动收入份额。功能性分配效应是受制于生产函数、资本密集度和技术变迁等因素引致的劳动收入份额变化对总体基尼系数的影响。由于工资收入相对资本收入总是平等一些,即(GL-GK)<0;所以在功能分配效应对总体基尼系数影响的分析主要集中在变量上。因此有利于劳动力收入的政策和技术进步,即(GL-GK)<0,总是会降低总体基尼系数,有利于收入差距的缩小。但是在劳动力过剩的发展中国家,由于二元经济的存在,在转折点B之前(见图4),农业劳动收入低于制度性工资,在经济发展过程中,工资几乎不变或者只有微幅的提高。在转折点B之后,劳动供给曲线LS才会向上倾斜,工资才会上升。但是在转折点之前,资本节约型技术对劳动的需求曲线Df比劳动节约型技术对劳动需求曲线Df更有助于农业劳动向非农业劳动的转移,提高社会的劳动就业,提高φ′W。的份额;在不改变资本和劳动比率条件下的中性技术进步和创新也可以提高劳动工资份额和资本收益,使得厂商对劳动的需求曲线向右移动,例如D′f因此只要是技术进步和创新频率的上升总是具有提高劳动要素收入和扩大吸引劳动力的双重效用,可以提高φ′W的份额等,有利于降低总体基尼系数。

  如上所述,可以从对劳动力吸引、创新频率、技术进步倾向等方面分析对外开放因素对城市劳动收入比重的φ′W影响。

(1)对劳动力的吸引。廉价的劳动是决定我国国际贸易模式和外资进入我国的重要因素之一。因此,我国扩大劳动密集型产品的出口和吸引大量外资提供的新的就业机会,总体上说是有利于劳动就业的增加,有利于农业劳动向非农业劳动的转移,从而有利于增加φ′W比重的。1996年以来,我国吸引劳动力就业增长率最快的是民营企业和外资企业,而且外资企业对劳动力的吸引持续上升(见图5)。所以,在加快我国农业劳动向非农劳动的转移过程中,国际贸易和引进外资发挥了重要的作用,有利于增加φ′W

  (2)创新频率。虽然可以用外资企业的总要素生产率和本土企业的比较来分析外资企业的创新频率效应。由于资料的缺乏,笔者暂时不能计算出外资企业的总要素生产率(TFP)。但是,从跨国公司垄断优势理论来分析,外资依赖于市场不完全性特征获得的垄断利润中,除了东道国政府的优惠政策以外,从逻辑上推论其余的利润应当是由于技术、管理等方面的垄断优势带来的。这些垄断优势相对于东道国来说是一种技术和管理创新。大量的不同行业的外资企业进入,对于东道国来说就是相当于一种创新频率的提高。依赖于这种创新频率,外资吸收东道国的劳动和资本同时也促进了东道国劳动要素收入的上升(见图6),也有利于增加φ′W

 

 

  (3)技术进步倾向。对在我国的外资企业资本劳动比率的比较和趋势分析显示,无论是外资企业还是港澳台企业的资本劳动比率都明显高于本土企业的平均水平(见图7),而且近期有上升的趋势。外资和港澳台企业使用的是属于倾向资本的技术进步。在劳动力工资上升的趋势中,厂商为了获得或保持更高的盈利,这种资本深化的趋势是必然的。但是这种技术进步倾向比本土企业倾向劳动的技术进步,吸收劳动力的效率要低一些。所以在技术进步倾向上,外资企业对φ′W值增加的贡献要低于本土企业。

  但是要看到虽然外资技术进步和差异产品产生的挤出效应会导致本土企业劳动的失业,引致φ′W的份额下降,但是从长期分析,外资带来的外部效应,例如加工链的延长、技术和管理效应的外溢等也会拉动本土企业的成长,带来就业机会的增加,提高φ′W的份额,从而降低总体基尼系数的。所以,以上的分析表明,在功能性分配效应上,对外开放,尤其是引进外资是有利于总体基尼系数下降的。

  3.要素基尼系数效应

  为要素基尼系数效应。要素基尼系数效应反映了在资产结构、人力资本投资、制度变革引致的对获得收入的歧视程度等等微观理论中可以和分配联系起来的因素。例如土地和资本改革会引起誓;低收入家庭教育机会的增加和劳动力市场的完善能导致等等。这些变化都会降低总体基尼系数的水平。由此可见,农业(土地要素)收入差异、劳动要素收入差异、资本要素收入差异以及它们在收入中比重是影响总体基尼系数的重要因素。

  由于,目前缺少以上要素收入基尼系数的数据,因此如何合理地分析对外开放对要素基尼系数效应的影响需要采取变通的途径。

  我国幅员广阔,东中西部区域经济差异显著,城乡之间经济和制度环境迥异。土地、劳动、和资本要素在不同的经济区域之间、在城市和乡村之间的边际收益也显著不同。所以笔者认为可以建立截面模型,从对外开放对城乡收入差异的影响人手对要素基尼系数效应进行间接的分析。首先建立以下的横截面模型:

  

  模型中的被解释变量DISPARITY采用各省城乡居民的收入差距系数(~CMRT)来衡量居民收入差距DISPARITY。城乡居民的收入差距系数的计算公式是城镇居民家庭人均可支配收入与农村居民家庭人均纯收入的比值。

  解释变量中的对外开放程度用两个指标来表示,第一个指标是TRADE,即是贸易依存度或贸易开放度,用进出口总额与GDP的比值表示。另一个指标是FDI,表示外资依存度,即外商直接投资额与GDP的比值。假如TRADE和FDI的系数为正,则说明,对外开放程度的增加带来了城乡居民收入差距的扩大;如果系数为负,则说明对外开放缓和了城乡居民的收入差距。

  其余的控制变量包括DUAL、EDU、GDP、DUMMY。DUAL表示二元对比系数。二元对比系数表示二元经济中,农业和非农业的相对劳动生产率的比率,反映了经济的二元化程度。二元对比系数越小,表明两部门的差别越大,即二元性越大,反之则越小。DUAL的系数如果是负的,即二元对比系数越大(二元化程度越低),则城乡居民收入差距越小。EDU表示教育的发展水平。EDU用国家财政性教育经费占GDP的比重表示。如果EDU的系数为负,则说明科教兴国战略除了众所周知对经济增长的作用,同时有助于缩小我国收入差距。 GDP表示国内生产总值的增长率。如果GDP的系数为正,则说明,随着经济发展速度的增加,居民的收入差距扩大。反之则说明经济的快速增长有利于缩小收入差距。DUMMY为虚拟变量,为了区别沿海省份和内陆省份。沿海省份DUMMY=1,内陆省份DUMMY=0。如果模型的检验结果中, DUMMY的系数为负,则说明沿海省份的城乡收入差距小于内陆省份,否则则说明内陆的省份的城乡收入差距小于沿海省份。为了减少模型的误差项之间存在的异方差性,在下文的实证分析中采用上述变量(除虚拟变量DUMMY)的自然对数形式,用 L表示LOG,即LDISPARITY、LTRADE、LFDI、LDUAL、LEDU1、LEDU2、LGDP。

  从截面模型的实证分析可以得出以下结论:

  (1)截面模型1-5的贸易依存度TRADE和外资依存度FDI系数都为负,表明对外开放程度越大的省份,城乡的收入差距越小,即对外开放的扩大会缩小城乡收入差距。国际贸易规模的扩大和外资的进入会提高市场效率,促进要素的流动,在地区内部的要素相对价格均等化障碍会下降,同质要素边际收益的差距会缩小和趋同,从而降低了要素基尼系数。

  (2)DUAL的系数显著为负,意味着二元性程度越低的省份,城乡居民收入差距越小。再配置效应和功能性分配效应分析部分已经说明,对外开放有利于吸收农业劳动,加快农业劳动相向非农劳动的转移,提高社会总劳动收入水平和收入比重,有利于降低经济的二元性程度,从而降低总体基尼系数。

  (3)EDU的系数反而为正数。发展经济学认为“教育产品”具有双重属性,既导致个人的收入差别,又是实现社会公平分配的手段;教育的独特作用在于能够把平等和效率统一起来。而模型中教育变量的系数为正,表明教育费用的增加却扩大了城乡收入的差距。这说明了我国的财政教育经费过度地集中投放在城市而引起的教育不平衡结果,这种结果导致了城乡机会的不平等,这是应当引起重视和警觉的。

  (4)GDP的系数为负,尽管这个系数不太显著,但仍能说明经济发达的区域城乡收入差距较小。一个可能的解释是,增长速度较快、经济较为发达的省份能够拥有更大的能力来将财富再分配到相对落后的农村地区,增加农村地区的基础建设和技术推广,因此降低了城乡收入差距。

  (5)DUMMY的系数为负,说明沿海地区的收入差距较小于内陆地区。我国的沿海地区对外开放程度明显高于内陆地区,国际贸易规模和外资经济集中度远远大于内陆地区,由此获得的对外开放带来对总体基尼系数的收敛效应更为多,收入差距也相对较小。

  因此,可以得出以下的结论:对外开放不是我国居民收入差距扩大的主要原因;功能性分配效应的分析表明,对外开放促进了劳动力的转移、扩大了劳动要素在收入中的分配比重、提高了技术创新的频率,从而降低了收入差距的扩大;在要素基尼系数上,笔者的间接分析结果表明,造成居民收入差距增大的原因并非对外开放本身,而是开放程度的不均衡以及其他内部制度因素(城乡之间的歧视性制度)所致。

  因此,要解决我国国内收入不平等扩大的问题,需要继续坚持对外开放,促进生产要素流动和合理配置,提高对劳动力的培训投资和技术创新频率。继续实行开发大西部和振兴东北老工业基地战略,提高这些地区参与国际分工的程度,增进其分享开放收益的机会。


澳门棋牌app官网_澳门皇冠棋牌-游戏下载

热榜阅读TOP

本周TOP10

中国转轨经济关键时期失业问题成因

中国转轨经济关键时期失业问题成因

内容 摘要: 面对中国转轨经济关键时期与经济高速增长势头形成鲜明对照的失业率居高不下现状,运用奥肯定...